How do leopards get their spots? Mathematics gives us a better answer than the one offered by Rudyard Kipling in Just So Stories. This is the topic of That’s Maths this week ( TM019 ).
![African Leopard (Panthera pardus pardus). [Image from Wikimedia Commons]](https://thatsmaths.com/wp-content/uploads/2013/04/leopard-mid-res.jpg?w=300&h=199)
Turing’s Morphogenesis paper
The information to form a fully-grown animal is encoded in its DNA, so there is a lot of data in a single cell. But there are only about three billion base pairs in DNA and tens of trillions of cells in the body. So, minute details like the twists and spirals of a fingerprint are not predetermined.
Rather, these characteristics emerge during embryonic growth as a result of a small number of factors determined by the DNA, following the basic laws of physics and chemistry. Mathematical models enable us to understand many features of a growing embryo. One particular example is the patterns of hair colour that give leopards their spots and zebras their stripes.
Alan Turing, was famous for cracking the Enigma code during World War II. But he was a polymath, and worked on many other problems. In 1952, he published a paper, The chemical basis of morphogenesis, presenting a theory of pattern formation.
Turing developed a theory of how chemical factors in the cell determine growth patterns, and influence factors like hair colour. The model included two chemical processes: reaction, in which chemicals interact to produce different substances; and diffusion, in which local concentrations spread out over time.
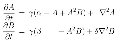
Reaction-diffusion processes
Suppose we have two chemicals, A and B, called morphogens, with A triggering hair colouring and B not doing so. In regions where A is abundant, the hair is black; where B is dominant, it is white. Now suppose that A is auto-catalytic, that is, it stimulates production of further A molecules. Suppose it also catalyses production of B, whereas B suppresses production of A. Thus A is called an activator and B an inhibitor.
Clearly, a local concentration of A will lead to an increase of both A and B. But now comes the crucial assumption: the inhibitor B diffuses faster than the activator A. So B spreads out faster than A in an annular region surrounding the initial concentration, forming a barrier region where concentration of A is reduced. The end result is a localised spot of black hair where A is plentiful, surrounded by a region of white hair.
What is going on is a competition between the reaction and diffusion processes. The details of the resulting pattern depend on the values of ‘parameters’ such as reaction rates and diffusion coefficients, and a wide range of geometrical patterns of hair colouring can result from this mechanism.
Many reaction-diffusion models have been proposed, with varying details of the reactions, some having three or more morphogens. One model is based on the Schnakenberg equations:
The parameters α and β are production rates, γ measures the relative strengths of reactions and diffusion and δ >1 measures the enhanced diffusion of B relative to A.
Spots and Stripes
There is a simple solution of the Schnakenberg equations: if A and B are constants, independent of both space and time, they solve the system if A = α+β and B = β / (α+β)2. If we start with this solution perturbed by small random variations, the solution evolves into a pattern with large-scale features which depend on the parameter values.
The figure below shows the concentration of chemical A after the system reaches equilibrium, for a range of values of γ. High values of A are shaded black, as hair colouring in these regions is expected to be black. For small values of γ, the regions are large, and stripe-like. For large values of γ, the black hair is confined to small spots like those on the coat of a cheetah.

Many other patterns can be generated by varying the other parameters. Thin stripes like those on an angel fish, or thick stripes like those of a zebra or even panda can be generated, and clusters of spots found on a leopard can be produced. A wide range of equation systems have been investigated.
While the Turing mechanism has not been unequivocally proven to be the actual mechanism acting in living systems, it is certainly capable of producing many of the patterns found in nature.
Sources
Applet to generate solutions for a variety of parameters [Christopher G Jennings, Simon Frazer University].
Matlab program to solve the Schnakenberg equations [Marie-Therese Wolfram, University of Vienna].

