
Most of us are familiar with the piano keyboard. There are twelve distinct notes in each octave, or thirteen if we include the note completing the chromatic scale. The illustration above shows a complete scale from middle C (or C) to the C above (or C
). Eight of the notes — C, D, E, F, G, A, B and another C one octave higher — comprise the `diatonic scale’, while the remaining five sharp notes (denoted
) complete the chromatic scale.
The piano keyboard makes no distinction between C and D
: both are sounded by pressing the same key. But there is a difference: in some tuning methods, the two notes are slightly different in pitch. Instruments like the violin, with continuous pitch rather than discrete notes, can resolve the distinction, which is known as enharmony. We can illustrate it by constructing the “Circle of Fifths”.
In Pythagorean tuning, the octave is made up by repeated formation of Perfect Fifths, in which each successive note has a frequency times the previous one. The frequency is halved where necessary to keep within the range of a single octave, let’s say, between C
and
.
Moving up an interval of a fifth, we go from C to G. Repeating, we get in turn D, A, E, B and F. This involves six factors of
and three factors of
to keep within C
—
. Thus, the pitch of F
is
above C.
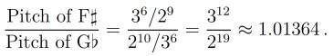
Now drop down from C by a fifth to F, then to B, E
, A
, D
and G
. This gives six factors of
and four factors of
to keep within C
—
. Thus, the pitch of G
is
above C. So
This number is called the Pythagorean Comma.
Another way to look at this is to consider a series of twelve notes, each a perfect fifth above the preceding one. Allowing for the reduction to the same octave, we start at Middle C and end at a note whose frequency differs from Middle C by a factor equal to the Pythagorean Comma.
Geometric Construction

Three Norwegian authors, Börre Nyhoff, Alv Aarskog and Sverre Holm (2024), have recently published a paper in the Mathematical Intelligencer, in which they present a geometric construction of musical scales and illustrate the Pythagorean Comma.
The aim is to arrange the notes of the scale on a line — the frequency axis — using simply geometry to obtain the required frequency ratios. We start with a right-angled triangle. If the side lengths are 1, and 2, the angle A is
, as in Fig. 1 (left panel), and the perpendicular drawn from C cuts the frequency axis at a point that is
times the distance AB. This ratio corresponds to a musical interval of a fourth.
If the angle is replaced by
, the ratio
is replaced by
, corresponding to a perfect fifth (Fig. 1, right panel).


Repeating this construction, we can produce the complete chromatic scale. Fig. 2 shows a sequence of twelve ascending fifths. The ratio of the last note to the first is , corresponding closely to
, or seven octaves. The ratio
, the Pythagorean Comma.
Fig. 3 shows the full chromatic scale, with octave equivalence where pitches are halved or doubled to remain within a single octave (except for the final C). We can see that this final C has a pitch slightly above C, the discrepancy being the Pythagorean Comma.
The Spiral of Theodorus
The triangles appearing in Fig. 2 are special cases of the infinite sequence of right-angled triangles used to construct the Spiral of Theodorus (ThatsMaths, 2021). Starting with the isosceles triangle having sides we adjoin triangles of sides
(see Fig. 4). The smallest angle of the
-th triangle is
and the tuning ratio is
. Thus, we can construct musical scales by using series of notes with any interval
.

A sequence of perfect fifths can never produce two notes with an octave interval: no ratio of the form is a whole number, because
is odd and
even. To have an octave of thirteen notes with each adjacent pair having the same frequency ratio,
, we would need the product of
by itself twelve times to equal 2. Therefore,
. Such a tuning scheme is called equal temperament. It has many advantages, but involves a compromise: notes separated by a fifth have frequency ratio
instead of the perfect value
. All the other intervals are also irrational so that only octaves (eighths) have the ideal ratio (
). Fig. 5 shows an octave tuned with equal temperament: the thirteenth note is exactly C
.

Sources
Nyhoff, Börre, Alv I. Aarskog and Sverre Holm, 2024: Geometric Construction of Pythagorean and Just Musical Scales and Commas. Math. Intelligencer, 46, 25–31.
ThatsMaths, 2021: The Square Root Spiral of Theodorus. Link.
