Atmospheric motions are chaotic: a minute perturbation can lead to major changes in the subsequent evolution of the flow. How do we know this? There is just one atmosphere and, if we perturb it, we can never know how it might have evolved if left alone.
We know, from simple nonlinear models that exhibit chaos, that the flow is very sensitive to the starting conditions. We can run “identical twin” experiments, where the initial conditions for two runs are almost identical, and watch how the two solutions diverge. This — and an abundance of other evidence — leads us to the conclusion that the atmosphere behaves in a similar way.
1. Chaotic Control
The chaotic nature of the flow makes prediction beyond the short range tricky. We never know the starting conditions (“today’s weather”) exactly, and errors can grow rapidly and spoil the forecast.
But perhaps we can use this sensitivity constructively to control the weather. By nudging the variables in the correct manner, we might be able to prevent — or to cause — a particular weather event later on. This is the idea of chaotic control.
The idea of chaotic control is not new. In his funding application for the ENIAC integrations in 1950, John von Neumann listed weather modification as one of the possible future outcomes of the research. Of course, he was far ahead of his time. But recently, two Japanese scientists have shown that, for a greatly simplified system — a toy model — they could impose tiny perturbations to maintain the flow in one of two possible regimes.
2. Chaos, predictability and ensemble forecasting
There is a limit to predictive skill due to model errors and inaccuracies in the initial conditions. The unpredictability was first discussed in a simple context by Edward Lorenz (1963). Lorenz discovered that, even for perfect models and almost perfect initial data, the atmosphere has a finite limit of predictability. Systems having solutions that depend sensitively on the initial conditions are called chaotic systems. Lorenz elucidated the role of chaos in forecasting when he presented a talk entitled “Predictability: Does the flap of a butterfly’s wings in Brazil set off a tornado in Texas?” at a conference in Washington.
3. Lorenz’s simple three-component model
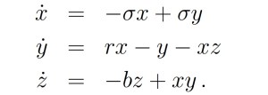
In his landmark paper Deterministic nonperiodic flow, Lorenz (1963) reduced the dynamics of a convective system to three simple nonlinear equations, This system has been studied intensively and provides a powerful illustration of chaos. The equations are
The system describes the time evolution of the three variables ,
and
and the solution may be represented by the trajectory of the point
in a three-dimensional phase space. The parameters may be varied, but normally have the values
,
and
. The system is dissipative, since the divergence is negative:
A volume in phase space with initial value will decrease exponentially,
.
The Lorenz system has a bounded globally attracting set of dimension smaller than three, the dimension of the phase space, and all trajectories rapidly approach this attractor. For one special complicated system—the global weather—the attractor is simply the climate, that is, the set of weather patterns that have at least some chance of occasionally occurring.
Irrespective of the initial conditions, the solution rapidly settles down to an unending sequence of orbits about the spiral points. It spins about one point for some time, then switches to oscillations about the other. It continues to alternate between these two modes of behaviour, with the number of circuits around each point varying in an erratic manner. The projection of a typical trajectory on the —
-plane is illustrated in the Figure. The familiar butterfly-pattern is especially evident in the figure.
We may think of the two lobes of the attractor as representing two distinct weather regimes; for example, westerly zonal flow and blocked flow in middle latitudes. Transitions between the left and right lobes then correspond to transitions between one weather type and another.
Trajectories starting from almost identical initial states follow similar paths for a short time, but soon diverge. An identical twin experiment is shown in the Figure below: the two ‘forecasts’, started from almost identical initial conditions, soon part company and evolve in completely different ways.

4. Who Said a Bird Never Flew on One Wing?
Recently, two Japanese scientists have demonstrated that trajectories of the Lorenz (1963) equations can be controlled by tiny adjustments. Takemasa Miyoshi and Qiwen Sun have devised a method of computing perturbations that keep the trajectory on one wing of the butterfly attractor. Unperturbed orbits switch erratically and unpredictably from one lobe of the attractor to the other. The Figure below shows an unperturbed evolution in the left panel. When the controlling perturbations are applied during the evolution (right panel), the orbit remains on one side of the attractor.

Every eight steps, Miyoshi and Sun updated the controlled system with information from an ensemble of three models that indicated where the natural system was heading. If any of the three models showed a regime change, they applied infinitesimal perturbations to counteract this. They found that they could keep the controlled system on the same wing of the attractor at least 80% of the time, while the uncontrolled system flipped back and forth erratically.
Of course, these ideas must be tested in much more realistic situations before we can answer the question at the head of this post. We are far from being able to deflect hurricanes or avert heatwaves.
Sources
Lorenz, E. N., 1963: Deterministic nonperiodic flow. J. Atmos. Sci., 20(2), 130–141. Link.
Lynch, Peter, 2006: The Emergence of Numerical Weather Prediction: Richardson’s Dream. Cambridge University Press, 279pp.
Miyoshi, Takemasa and Qiwen Sun, 2022: Control simulation experiment with Lorenz’s butterfly attractor. Nonlin. Processes Geophys., 29, 133–139.

