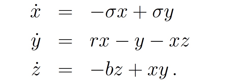
Lorenz63-Equations thatsmaths June 29, 2022 Published by thatsmaths View all posts by thatsmaths Published June 29, 2022