Skip to content
ThatsMaths Unknown's avatar

ThatsMaths

Follow on twitter: @thatsmaths

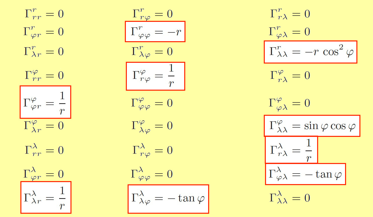
Christoffel-SpheriCoords

thatsmaths September 7, 2022

Unknown's avatar

Published by thatsmaths

View all posts by thatsmaths

Published September 7, 2022

Post navigation

Previous Post Dynamic Equations for Weather and Climate
  • About
  • Contact
  • Contents
  • Links
  • The Eiffel Tower is to become a Beacon of Equality
  • In Reckoning Easter, the disciples of Patrick were ahead of Rome
  • From perches to petaflops: the evolution of rational measurement
  • The Shape and Size of the Universe: Curvature is Key
  • Who Invented the Digital Computer? There’s No Simple Answer.
    Tweets by thatsmaths

    Blog at WordPress.com.
    • Subscribe Subscribed
      • ThatsMaths
      • Join 375 other subscribers
      • Already have a WordPress.com account? Log in now.
      • ThatsMaths
      • Subscribe Subscribed
      • Sign up
      • Log in
      • Copy shortlink
      • Report this content
      • View post in Reader
      • Manage subscriptions
      • Collapse this bar