
For more than three thousand years, mathematics has played an important role in Indian culture. Sometimes it was studied for practical reasons and sometimes for pure intellectual delight. The earliest traces of mathematics are found in the Indus Valley, around 3000 BC. There is clear evidence of a structured system of weights and measures and samples of decimal-based numeration [TM239 or search for “thatsmaths” at irishtimes.com].
The Vedas are amongst the oldest literary works of mankind. Written in the form of sutras or aphorisms, they give details of rituals, hymns and prayers. There are geometric instructions for the design of altars and sacred fireplaces. Vedic writers were aware of the theorem of Pythagoras, and the rule for the constructing right angles using the Pythagorean triad (3, 4, 5).
The Jain religion emerged around the middle of the first millennium BC. The Jains were interested not in rituals or altar building, but in cosmology. Their cosmological studies led them to consider orders of infinity, anticipating Georg Cantor by millennia.
Astronomy
Mathematical astronomy has been a continuing interest in India for several thousand years. The methods of trigonometry were developed for solving problems in astronomy. The first major figure was Aryabhata. His work, the Aryabhatiya, written in AD 499, contains a table of values of the sine ratio, methods for calculating square and cube roots, several approximations for pi and formulas for various areas and volumes.
The Romans and Greeks had cumbersome systems of numerals. The great French mathematician and physicist Pierre Simon Laplace observed that “It is India that gave us the ingenious method of expressing all numbers by means of ten symbols … [an idea] that escaped the genius of Archimedes and Apollonius”. The Devanagari numerals, dating back to at least the first millennium, are essentially the same as we use today.

We are indebted to India for the conception of the number zero. The earliest known inscription of the symbol “0” is found in a Hindu temple in Gwalior, dating from AD 875. In the seventh century work of Brahmagupta there is an arithmetic treatment of zero as a number. Brahmagupta also discusses negative numbers, a concept that did not gain acceptance in Europe for another eight centuries.
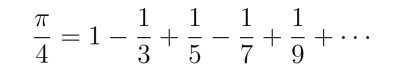
Recent scholarship has shed light on a thriving mathematical school in the south-western province of Kerala. There, Madhava (c. 1340–1425) developed series expansions for trigonometric functions. He derived an infinite series combining the reciprocals of the odd numbers and converging to pi. Known as the Gregory-Leibniz series, it did not appear in Europe until centuries later. The question of transmission of such knowledge from India to Europe remains unclear.
From the earliest times there has been a passion in Indian culture with large numbers. This is found in the Vedic, Jaina and Buddhist traditions. The Mahayana sutra, Lalitavistara tells the story of the early life of the Buddha, Siddhartha Gautama. When asked to name the numerical magnitudes, young Siddhartha listed powers of ten up to 421. The Buddhist Avatamsaka Sutra has an even more extensive list, the largest being the “untold”, having approximately 100 million million million million million million digits.
The Man Who Knew Infinity
The most remarkable mathematician of the modern era is Srinivasa Ramanujan (1887–1920), a self-taught mathematical prodigy from South India. He grew up in Kumbakonam, near Chennai. His family was very poor, of the Brahmin caste, but his parents supported his mathematical pursuits, even though he brought no material benefits to the family. Over recent decades, there has been growing appreciation of Ramanujan’s brilliance. His work is of enormous influence and pervades many areas of modern mathematics. A recent film, The Man Who Knew Infinity, is an accurate and sympathetic portrayal of his life.
Our understanding of the importance of India for the history of maths has changed markedly over recent decades. Current research is providing us with greater insight on the contributions of India to mathematics, but many uncertainties remain. Who knows what future research will tell us?
Sources
The Enduring Wonders of Enormous Numbers.
India-Ireland Friendship Lecture Series, 3 November 2022.
PDF of lecture slides. Video. Lecture starts at 11 minutes.
George G Joseph, 2010: The Crest of the Peacock: Non-European Roots of Mathematics Third Edition. Princeton University Press. Princeton University. ISBN: 978-0-6911-3526-7.
Lynch, Peter, 2016: Taylor Expansions from India. ThatsMaths.
