Mathematics has an amazing capacity to help us to understand the physical world. Just consider the profound implications of Einstein’s simple equation . Another example is the wave equation derived by Scottish mathematical physicist James Clerk Maxwell. Our modern world would not exist without the knowledge encapsulated in Maxwell’s equations.
Observation

The story of Maxwell’s discovery of the electromagnetic equations, and the wave equations that follow from them, is a remarkable illustration of the power of mathematics to elucidate physical processes and to predict the emergence of completely new phenomena.
Radio waves were first predicted using the theory of electromagnetism proposed in 1867 by Maxwell. His mathematical theory demonstrated that a coupled electric and magnetic field could travel through space as a wave.
The speed of light , a universal physical constant with approximate value of 300,000 kilometres per second, plays a fundamental role in physics. Many measurements of the speed of light were made, from Galileo onward. In 1676, Ole Christensen Rømer used observations of the moons of Jupiter to estimate it. By the mid 1800’s, the value of
was known to {reasonable} accuracy.
Deduction
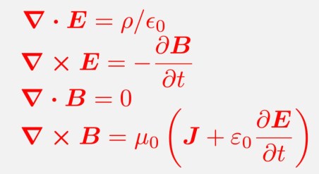
Maxwell combined the physical laws that had been formulated by Gauss, Ampère, Faraday and others, but he added an extra term to Ampère’s equation, allowing for a changing electric flux. This had a dramatic effect on the nature of the possible solutions.
The four equations encapsulating Maxwell’s theory may be written
Calculation
Assuming the source terms — charge density and current
— vanish, it is simple to combine these equations to derive a wave equation for the electric field:
Another equation of identical form applies to the magnetic field . Maxwell concluded from the form of these equations that disturbances of the electric and magnetic fields could travel through empty space (or through the ether) as waves. The speed of propagation of these waves depended upon two physical parameters, the electric permittivity
and the magnetic permeability
.
The constant in the wave equation is normally written as . Maxwell concluded from his equations that the electromagnetic wave speed was
However, he was at his country pile in Scotland when he obtained this result, and he did not have access to the numerical values for the parameters. Imagine his state of nervous anticipation and anxiety before he could check his idea.
Upon returning to London some weeks later, Maxwell calculated the numerical value of from the known values of permittivity and permeability,
Plugging these values into (1), he obtained a value
which was in excellent agreement with the measured speed of light. This led Maxwell to propose that light consisted of electromagnetic waves propagating at speed . This was a powerful unification of optics — the physics of light — and of electro-magnetism.
Confirmation
In the late 1880’s the German physicist Heinrich Hertz demonstrated the existence of Maxwell’s electromagnetic waves by experimentally generating radio waves in his laboratory. Hertz used two spark generators, one, the transmitter that produced the waves and another, the receiver that detected them. When waves were produced by sparks in the transmitting generator, sparks were immediately observed in the spark-gap of the receiver. Thus was radio science born!
Consequences
Within ten years, Italian inventor Guglielmo Marconi had developed the first practical radio transmitter and receiver. Around 1895, he showed how what were originally called “Hertzian waves” could be used for communication.

Thanks to Maxwell’s brilliant physical and mathematical insight, we are blessed today with the tremendous benefits of radio communication.

