
The swinging spring, or elastic pendulum, exhibits some fascinating dynamics. The bob is free to swing like a spherical pendulum, but also to bounce up and down due to the stretching action of the spring. The behaviour of the swinging spring has been described in a previous post on this blog [Reference 1 below].
A further degree of freedom is introduced by allowing the spring to twist about its axis. The stretching and twisting are coupled: compressing the spring causes it to coil up and extending it causes it to uncoil. This allows for transfer of energy between the two types of motion. The pure stretch-and-twist motion, without any horizontal motion, is exhibited by the Wilberforce spring [Reference 2 below].
Four Degrees of Freedom
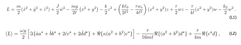
Adding both the stretching and twisting features to a spherical pendulum, we get a system with four degrees of freedom. The Lagrangian (L1), approximated to cubic order, and the Lagrangian averaged over the high-frequency oscillations (L2), are
L2 describes an integrable system. L1 does not.
Initial conditions are selected to illustrate a particularly regular pattern of oscillations. The horizontal projection of the trajectory is shown in the following figures, for the cubic Lagrangian (left) and the averaged Lagrangian (right). They are quite similar to each other.

We see that the horizontal excursions are approximately equal in amplitude, and separated by a more-or-less constant precession angle of about (the angle is very sensitive to the initial conditions). This is the pattern of stepwise precession.
In the figure below (left panel) we show the amplitude of the horizontal motion, and the vertical motion,
. It is clear that there is a regular exchange of energy between them.

But what about the twisting motion? Will this not disturb the regular pattern? For the chosen initial conditions, the twisting is in close phase agreement with the horizontal motion (both are large or both small at the same time), and directly out of phase with the vertical motion. This is shown in the figure (right panel).
In conclusion, we can have a regular pattern of oscillations with stepwise precession provided we choose the initial conditions carefully. It is hoped that a technical publication on this system, with more complete details, will appear.
Sources
[1] The Swinging Spring. thatsmaths.com, February 21, 2013.
[2] The curious behaviour of the Wilberforce Spring. thatsmaths.com, August 22, 2019.
* * *
GREATLY REDUCED PRICE from Logic Press.
Now available also in hardback form

